
”Tasty” Grocery Store, Cafe & Bar(Pattaya, Si racha)
Tasty Grocery Store, Cafe&Bar(30sec)
https://youtu.be/Cx2DUCQ-dRTastyハーモニック店、パタヤ店、ジョムティエン店
年末年始の営業を実施中!
Tasty各店営業中
(パタヤ)
Tastyパタヤ店(毎日朝9時~夜9時営業)<Cafeは月曜定休、夜8時ラストオーダー>
Tastyジョムティエン店(毎日朝9時~夜9時営業)
(シラチャ)
Tastyハーモニック店(毎日朝9時~夜9時営業)
アジア)タイとカンボジア、72時間の即時停戦に合意 (合意文書掲載)
(ThePattayaNews)
昨日の2025年12月27日、タイとカンボジアの国防相は72時間の即時停戦に合意しました。
チョンブリ県有力メディアのThePattayaNewsが伝えています。
(ThePattayaNews)
両国はともに相手側による停戦違反行為を主張していますが、まずは本合意により72時間の停戦から始まり、長期的な停戦が目指されます。
タイの一部報道によると、停戦合意後は戦闘が収まってきている模様であると伝えられており、今後の長期的な停戦の実現が求められている事をThePattayaNewsが伝えています。
日本でも、NHKは次の通り報道しています。
NHK ONE)タイとカンボジアの軍事衝突 即時停戦で合意
https://news.web.nhk/newsweb/na/na-k10015015471000
引き続き、今後の動きが注視されています。
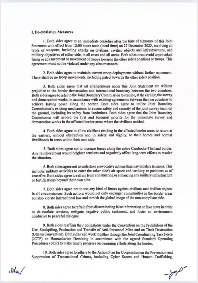
昨日付けの合意文書(英文)を以下に掲載します。



パタヤ)Unixxのマンスリー賃貸(30日以上)はオンラインで!
パタヤ)Unixxと、入口のクラブハウス
(クラブハウスにAMS社運営のTastyのミニマート、カフェ、カウンター)AMS社のマンスリー賃貸(30日以上)の賃貸は、以下のAirbnb社のサイトで空き状況を調べられます。
お部屋と期間を決められた直後に、Unixx入口のクラブハウス一階のTastyパタヤ店で手数料無料で申込みいただけます。
https://www.airbnb.com/users/127613363/listings<Unixxの賃貸、売買を行っているUnixx Residence Club<AMS社>連絡先)
URL: http://unixx.club/
E-Mail: realestate@unixx.club (日本語、英語)
チョンブリ)北海道産すき焼き肉、Tasty各店でセール発売!
(北海道ノースワンファーム産
上すき焼き肉<200gパック>
698バーツ(セール価格、200g、VAT込み)
写真:Tasty)シラチャ)Tastyハーモニック店で山口豆腐店の手作り豆腐、豆乳を販売
毎週火曜と金曜の週二便、チェンマイよりTastyハーモニック店に入荷。
(Tastyハーモニック店<シラチャ>)
Tastyの日本からの輸入牛肉、タイ産で美味しいTastyビーフも好評販売中!パタヤ店でステーキフェア、新メニューで開催中!
パタヤ)TastyのGrill Bar and Cafeに、ステーキフェアの新メニュー!(PR)
https://pattayaja.com/2022/07/12/30136/
(Tastyパタヤ店で「ステーキフェア」実施中!)
タイのパタヤ、シラチャ、バンコクの不動産売買、賃貸のAMS社(Asia Market Survey)
AMS社ウェブサイト(日本語版)
http://asiainvestmentsupport.com/
タイ情報で、にほんブログ村ランキングに参加中! 見ていただいた記事には、是非以下にクリックをお願いします。


パタヤ)Unixxと、入口のクラブハウス
(Tastyハーモニック店<シラチャ>)










